WHL0137-08 ACS+IR detection object #5553

Color images and BPZ results
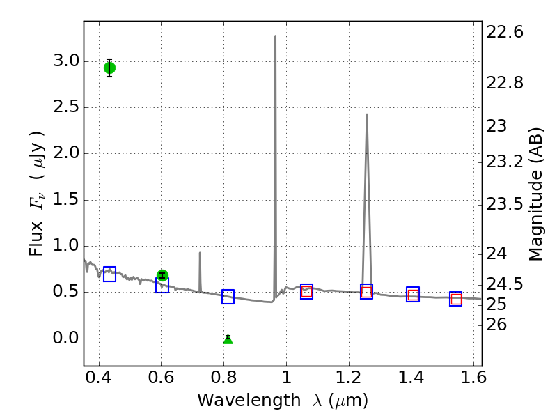
Catalog: 5553.cat
Black segments are analyzed here.   Roll mouse over color images to view segments.
Best viewed in a wide browser window (1200 pixels or more).   Download SED & P(z) plots to view larger versions.
In P(z) plots: Yellow lines mark the cluster redshift z = 0.566,  

Object #5553   x,y = (3388, 452)   RA, Dec = (01:37:21.528, -8:29:24.36) = (24.33970, -8.49010)   BPZ = 1.593 [1.567--1.779]   type = 11.00 (SB11_A_0_l)   chisq2 = 508.13   ODDS = 0.93   z_cluster = 0.566