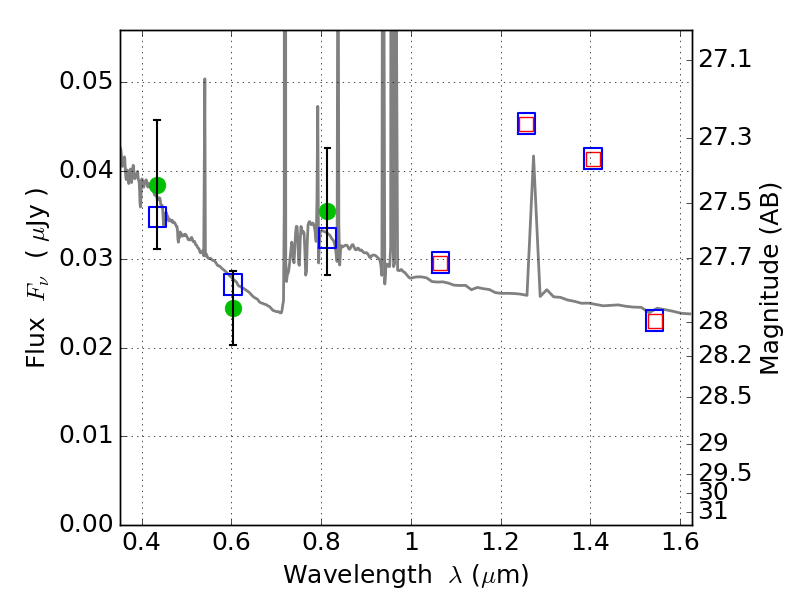
WHL0137-08 ACS+IR detection object #4545

Color images and BPZ results
Catalog: 4545.cat
Black segments are analyzed here.   Roll mouse over color images to view segments.
Best viewed in a wide browser window (1200 pixels or more).   Download SED & P(z) plots to view larger versions.
In P(z) plots: Yellow lines mark the cluster redshift z = 0.566,  

Object #4545   x,y = (1445, 1439)   RA, Dec = (01:37:29.376, -8:28:25.32) = (24.37240, -8.47370)   BPZ = 0.934 [0.400--2.582]   type = 11.00 (SB11_A_0_l)   chisq2 = 0.64   ODDS = 0.12   z_cluster = 0.566