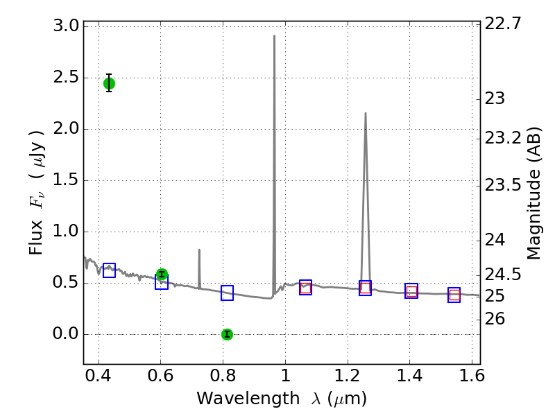
WHL0137-08 ACS+IR detection object #4386

Color images and BPZ results
Catalog: 4386.cat
Black segments are analyzed here.   Roll mouse over color images to view segments.
Best viewed in a wide browser window (1200 pixels or more).   Download SED & P(z) plots to view larger versions.
In P(z) plots: Yellow lines mark the cluster redshift z = 0.566,  

Object #4386   x,y = (3964, 1539)   RA, Dec = (01:37:19.200, -8:28:19.20) = (24.33000, -8.47200)   BPZ = 1.593 [1.566--1.817]   type = 11.00 (SB11_A_0_l)   chisq2 = 465.51   ODDS = 0.92   z_cluster = 0.566