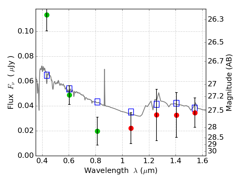
WHL0137-08 ACS+IR detection object #4175

Color images and BPZ results
Catalog: 4175.cat
Black segments are analyzed here.   Roll mouse over color images to view segments.
Best viewed in a wide browser window (1200 pixels or more).   Download SED & P(z) plots to view larger versions.
In P(z) plots: Yellow lines mark the cluster redshift z = 0.566,  

Object #4175   x,y = (2115, 1676)   RA, Dec = (01:37:26.664, -8:28:10.92) = (24.36110, -8.46970)   BPZ = 2.102 [1.543--2.511]   type = 11.00 (SB11_A_0_l)   chisq2 = 4.56   ODDS = 0.37   z_cluster = 0.566