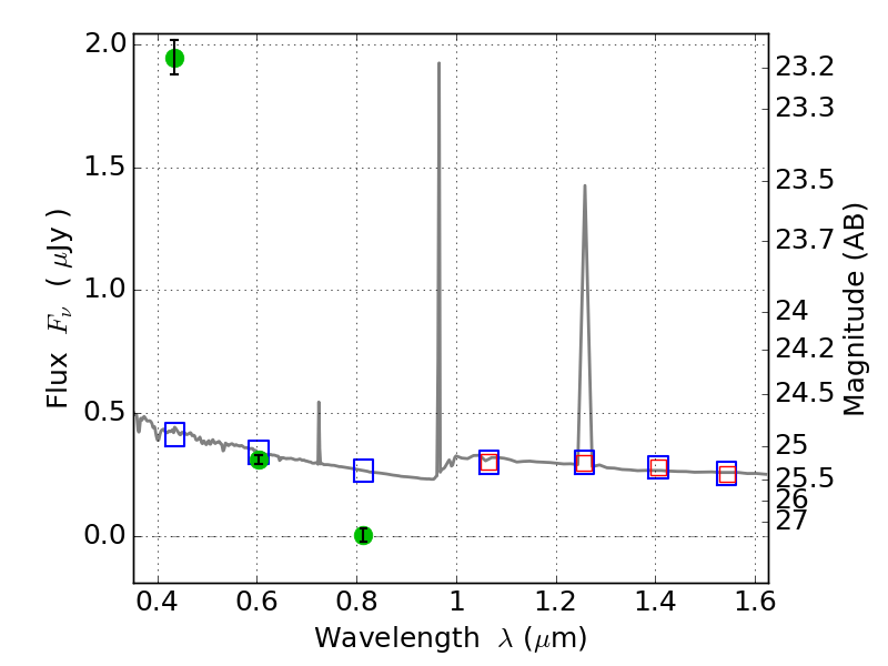
WHL0137-08 ACS+IR detection object #3997

Color images and BPZ results
Catalog: 3997.cat
Black segments are analyzed here.   Roll mouse over color images to view segments.
Best viewed in a wide browser window (1200 pixels or more).   Download SED & P(z) plots to view larger versions.
In P(z) plots: Yellow lines mark the cluster redshift z = 0.566,  

Object #3997   x,y = (4093, 1789)   RA, Dec = (01:37:18.672, -8:28:04.08) = (24.32780, -8.46780)   BPZ = 1.593 [1.476--2.025]   type = 11.00 (SB11_A_0_l)   chisq2 = 487.64   ODDS = 0.75   z_cluster = 0.566