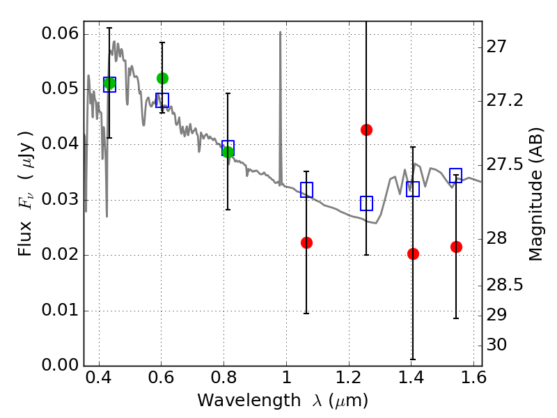
WHL0137-08 ACS+IR detection object #3899

Color images and BPZ results
Catalog: 3899.cat
Black segments are analyzed here.   Roll mouse over color images to view segments.
Best viewed in a wide browser window (1200 pixels or more).   Download SED & P(z) plots to view larger versions.
In P(z) plots: Yellow lines mark the cluster redshift z = 0.566,  

Object #3899   x,y = (3269, 1860)   RA, Dec = (01:37:22.008, -8:28:00.12) = (24.34170, -8.46670)   BPZ = 2.510 [0.055--3.087]   type = 11.00 (SB11_A_0_l)   chisq2 = 0.62   ODDS = 0.25   z_cluster = 0.566