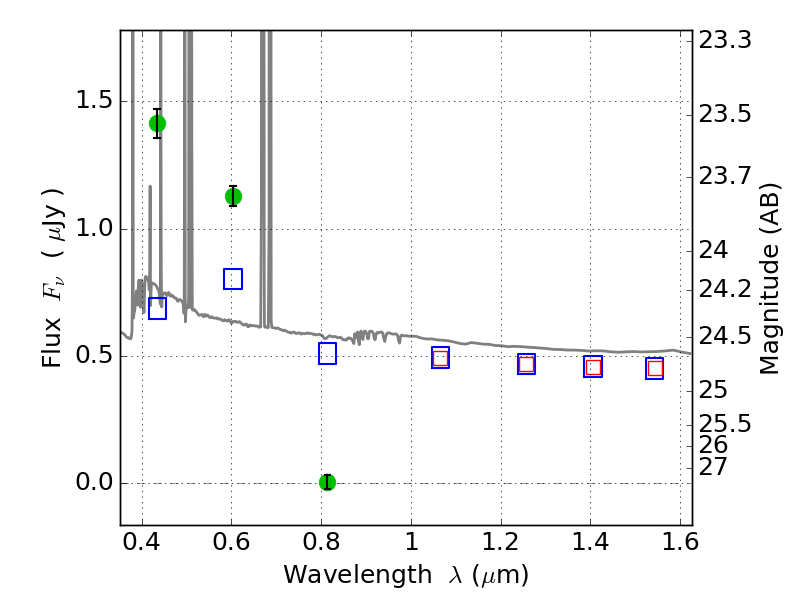
WHL0137-08 ACS+IR detection object #3408

Color images and BPZ results
Catalog: 3408.cat
Black segments are analyzed here.   Roll mouse over color images to view segments.
Best viewed in a wide browser window (1200 pixels or more).   Download SED & P(z) plots to view larger versions.
In P(z) plots: Yellow lines mark the cluster redshift z = 0.566,  

Object #3408   x,y = (4297, 2232)   RA, Dec = (01:37:17.856, -8:27:37.80) = (24.32440, -8.46050)   BPZ = 0.017 [0.010--0.033]   type = 11.00 (SB11_A_0_l)   chisq2 = 182.56   ODDS = 1.00   z_cluster = 0.566