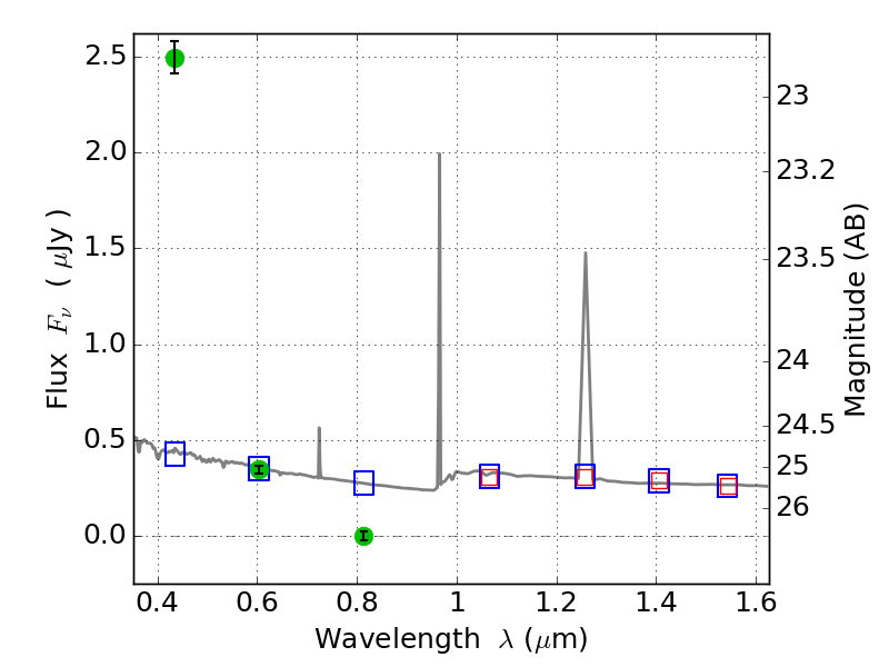
WHL0137-08 ACS+IR detection object #3323

Color images and BPZ results
Catalog: 3323.cat
Black segments are analyzed here.   Roll mouse over color images to view segments.
Best viewed in a wide browser window (1200 pixels or more).   Download SED & P(z) plots to view larger versions.
In P(z) plots: Yellow lines mark the cluster redshift z = 0.566,  

Object #3323   x,y = (4310, 2193)   RA, Dec = (01:37:17.784, -8:27:39.96) = (24.32410, -8.46110)   BPZ = 1.593 [1.495--2.005]   type = 11.00 (SB11_A_0_l)   chisq2 = 618.85   ODDS = 0.77   z_cluster = 0.566