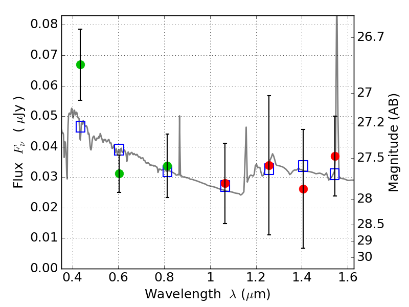
WHL0137-08 ACS+IR detection object #2074

Color images and BPZ results
Catalog: 2074.cat
Black segments are analyzed here.   Roll mouse over color images to view segments.
Best viewed in a wide browser window (1200 pixels or more).   Download SED & P(z) plots to view larger versions.
In P(z) plots: Yellow lines mark the cluster redshift z = 0.566,  

Object #2074   x,y = (2809, 2834)   RA, Dec = (01:37:23.856, -8:27:01.44) = (24.34940, -8.45040)   BPZ = 2.103 [0.665--2.645]   type = 10.80 (SB11_A_0_l - SB3_B10)   chisq2 = 1.14   ODDS = 0.19   z_cluster = 0.566