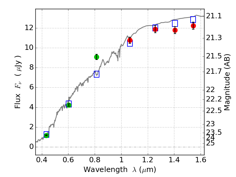
WHL0137-08 ACS+IR detection object #1878

Color images and BPZ results
Catalog: 1878.cat
Black segments are analyzed here.   Roll mouse over color images to view segments.
Best viewed in a wide browser window (1200 pixels or more).   Download SED & P(z) plots to view larger versions.
In P(z) plots: Yellow lines mark the cluster redshift z = 0.566,  

Object #1878   x,y = (2921, 2924)   RA, Dec = (01:37:23.424, -8:26:56.04) = (24.34760, -8.44890)   BPZ = 0.144 [0.091--0.167]   type = 4.00 (Ell4_A_0)   chisq2 = 1.20   ODDS = 0.96   z_cluster = 0.566