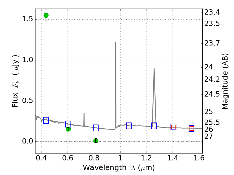
WHL0137-08 ACS+IR detection object #127

Color images and BPZ results
Catalog: 127.cat
Black segments are analyzed here.   Roll mouse over color images to view segments.
Best viewed in a wide browser window (1200 pixels or more).   Download SED & P(z) plots to view larger versions.
In P(z) plots: Yellow lines mark the cluster redshift z = 0.566,  

Object #127   x,y = (1642, 4625)   RA, Dec = (01:37:28.584, -8:25:14.16) = (24.36910, -8.42060)   BPZ = 1.592 [1.373--2.131]   type = 11.00 (SB11_A_0_l)   chisq2 = 438.14   ODDS = 0.49   z_cluster = 0.566