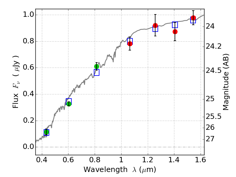
WHL0137-08 IR detection object #89

Color images and BPZ results
Catalog: 89.cat
Black segments are analyzed here.   Roll mouse over color images to view segments.
Best viewed in a wide browser window (1200 pixels or more).   Download SED & P(z) plots to view larger versions.
In P(z) plots: Yellow lines mark the cluster redshift z = 0.566,  

Object #89   x,y = (1648, 3348)   RA, Dec = (01:37:28.560, -8:26:30.84) = (24.36900, -8.44190)   BPZ = 0.102 [0.037--0.615]   type = 3.90 (Ell4_A_0 - Ell5_A_0)   chisq2 = 0.23   ODDS = 0.58   z_cluster = 0.566