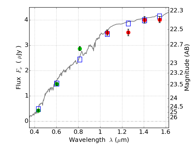
WHL0137-08 IR detection object #747

Color images and BPZ results
Catalog: 747.cat
Black segments are analyzed here.   Roll mouse over color images to view segments.
Best viewed in a wide browser window (1200 pixels or more).   Download SED & P(z) plots to view larger versions.
In P(z) plots: Yellow lines mark the cluster redshift z = 0.566,  

Object #747   x,y = (2935, 2170)   RA, Dec = (01:37:23.352, -8:27:41.40) = (24.34730, -8.46150)   BPZ = 0.102 [0.060--0.133]   type = 4.00 (Ell4_A_0)   chisq2 = 0.96   ODDS = 0.98   z_cluster = 0.566