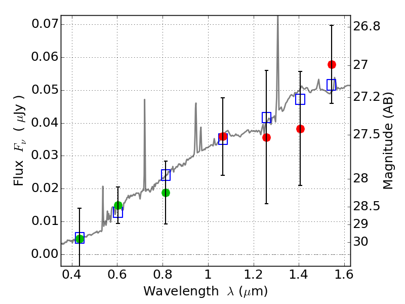
WHL0137-08 IR detection object #701

Color images and BPZ results
Catalog: 701.cat
Black segments are analyzed here.   Roll mouse over color images to view segments.
Best viewed in a wide browser window (1200 pixels or more).   Download SED & P(z) plots to view larger versions.
In P(z) plots: Yellow lines mark the cluster redshift z = 0.566,  

Object #701   x,y = (3111, 2266)   RA, Dec = (01:37:22.656, -8:27:35.64) = (24.34440, -8.45990)   BPZ = 0.440 [0.173--4.255]   type = 6.80 (Scd_B10 - Sbc_B10)   chisq2 = 0.25   ODDS = 0.06   z_cluster = 0.566