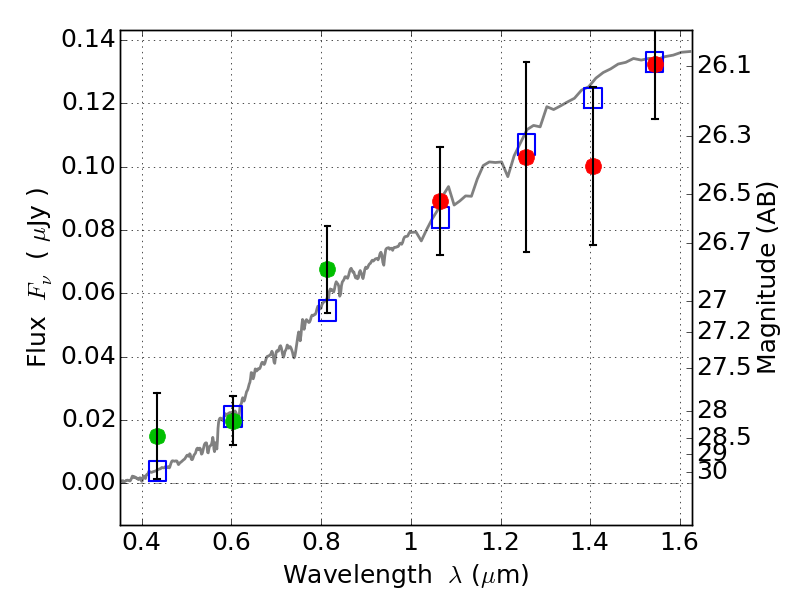
WHL0137-08 IR detection object #646

Color images and BPZ results
Catalog: 646.cat
Black segments are analyzed here.   Roll mouse over color images to view segments.
Best viewed in a wide browser window (1200 pixels or more).   Download SED & P(z) plots to view larger versions.
In P(z) plots: Yellow lines mark the cluster redshift z = 0.566,  

Object #646   x,y = (1988, 2340)   RA, Dec = (01:37:27.192, -8:27:31.32) = (24.36330, -8.45870)   BPZ = 0.432 [0.192--4.638]   type = 3.00 (Ell5_A_0)   chisq2 = 0.46   ODDS = 0.16   z_cluster = 0.566