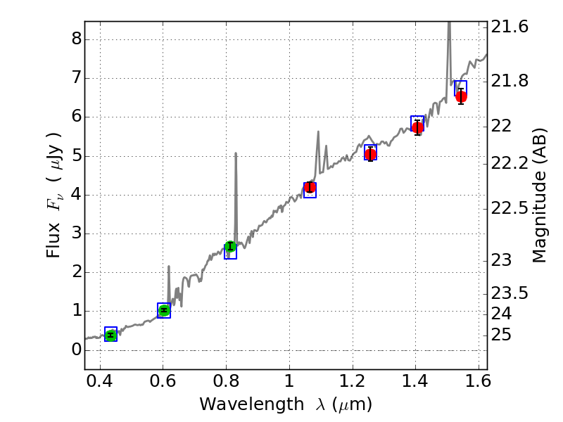
WHL0137-08 IR detection object #480

Color images and BPZ results
Catalog: 480.cat
Black segments are analyzed here.   Roll mouse over color images to view segments.
Best viewed in a wide browser window (1200 pixels or more).   Download SED & P(z) plots to view larger versions.
In P(z) plots: Yellow lines mark the cluster redshift z = 0.566,  

Object #480   x,y = (1604, 2649)   RA, Dec = (01:37:28.752, -8:27:12.60) = (24.36980, -8.45350)   BPZ = 0.663 [0.491--0.763]   type = 6.50 (Scd_B10 - Sbc_B10)   chisq2 = 0.09   ODDS = 0.64   z_cluster = 0.566