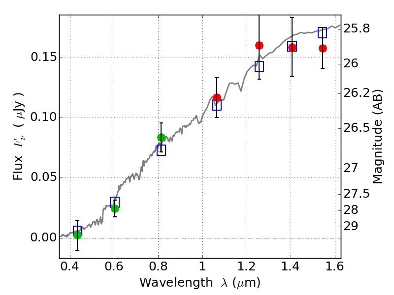
WHL0137-08 IR detection object #415

Color images and BPZ results
Catalog: 415.cat
Black segments are analyzed here.   Roll mouse over color images to view segments.
Best viewed in a wide browser window (1200 pixels or more).   Download SED & P(z) plots to view larger versions.
In P(z) plots: Yellow lines mark the cluster redshift z = 0.566,  

Object #415   x,y = (2907, 2754)   RA, Dec = (01:37:23.472, -8:27:06.48) = (24.34780, -8.45180)   BPZ = 0.378 [0.238--4.654]   type = 2.50 (Ell5_A_0 - Ell6_A_0)   chisq2 = 0.36   ODDS = 0.31   z_cluster = 0.566