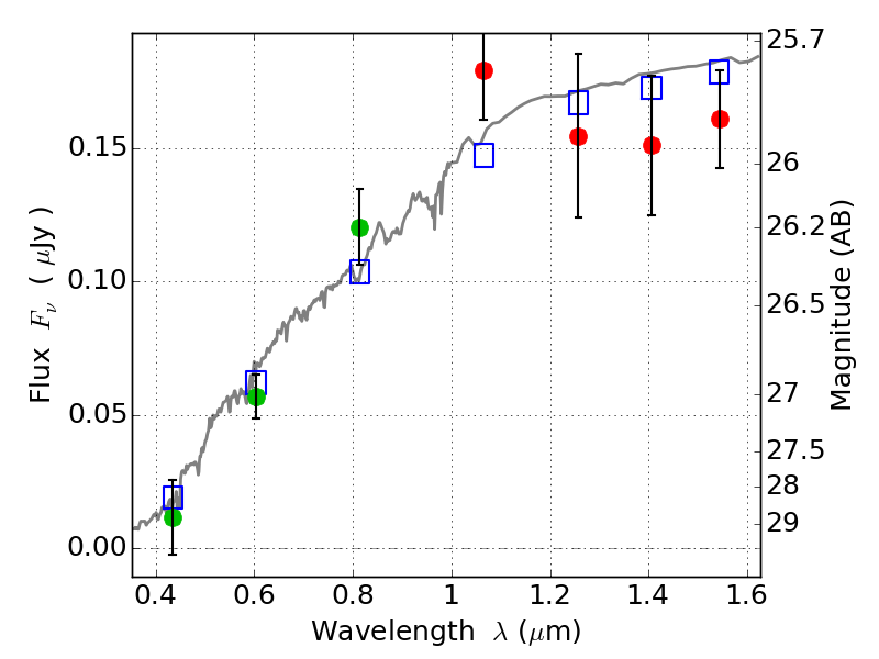
WHL0137-08 IR detection object #378

Color images and BPZ results
Catalog: 378.cat
Black segments are analyzed here.   Roll mouse over color images to view segments.
Best viewed in a wide browser window (1200 pixels or more).   Download SED & P(z) plots to view larger versions.
In P(z) plots: Yellow lines mark the cluster redshift z = 0.566,  

Object #378   x,y = (2469, 2835)   RA, Dec = (01:37:25.248, -8:27:01.44) = (24.35520, -8.45040)   BPZ = 0.126 [0.063--4.435]   type = 4.00 (Ell4_A_0)   chisq2 = 1.15   ODDS = 0.13   z_cluster = 0.566