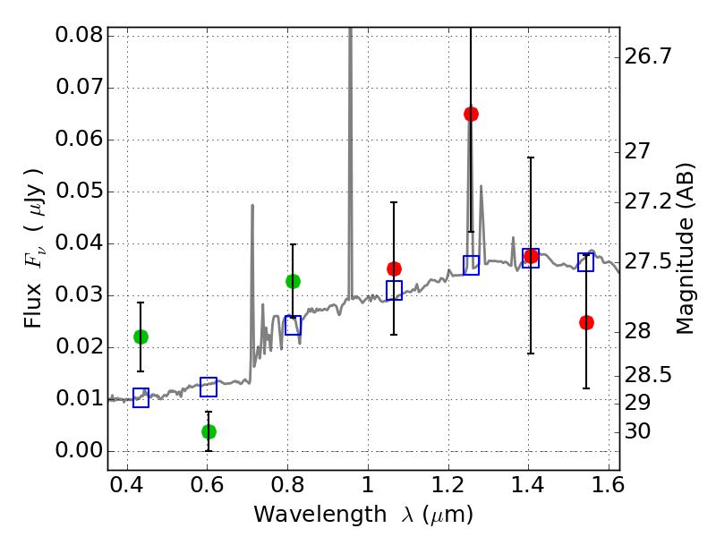
WHL0137-08 IR detection object #27

Color images and BPZ results
Catalog: 27.cat
Black segments are analyzed here.   Roll mouse over color images to view segments.
Best viewed in a wide browser window (1200 pixels or more).   Download SED & P(z) plots to view larger versions.
In P(z) plots: Yellow lines mark the cluster redshift z = 0.566,  

Object #27   x,y = (2554, 3558)   RA, Dec = (01:37:24.912, -8:26:18.24) = (24.35380, -8.43840)   BPZ = 0.914 [0.272--5.344]   type = 8.80 (SB2_B10 - SB1_B10)   chisq2 = 2.51   ODDS = 0.25   z_cluster = 0.566