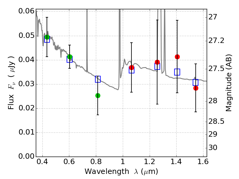
WHL0137-08 IR detection object #1218

Color images and BPZ results
Catalog: 1218.cat
Black segments are analyzed here.   Roll mouse over color images to view segments.
Best viewed in a wide browser window (1200 pixels or more).   Download SED & P(z) plots to view larger versions.
In P(z) plots: Yellow lines mark the cluster redshift z = 0.566,  

Object #1218   x,y = (1987, 1149)   RA, Dec = (01:37:27.192, -8:28:42.60) = (24.36330, -8.47850)   BPZ = 1.624 [0.989--2.707]   type = 10.90 (SB11_A_0_l - SB3_B10)   chisq2 = 0.22   ODDS = 0.26   z_cluster = 0.566