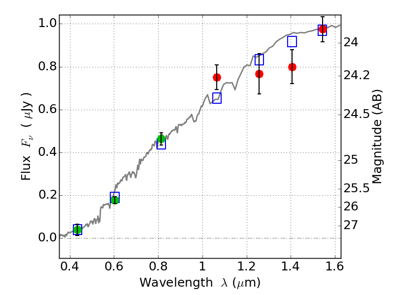
WHL0137-08 IR detection object #1214

Color images and BPZ results
Catalog: 1214.cat
Black segments are analyzed here.   Roll mouse over color images to view segments.
Best viewed in a wide browser window (1200 pixels or more).   Download SED & P(z) plots to view larger versions.
In P(z) plots: Yellow lines mark the cluster redshift z = 0.566,  

Object #1214   x,y = (2656, 1198)   RA, Dec = (01:37:24.480, -8:28:39.72) = (24.35200, -8.47770)   BPZ = 0.346 [0.250--0.761]   type = 2.90 (Ell5_A_0 - Ell6_A_0)   chisq2 = 0.77   ODDS = 0.64   z_cluster = 0.566