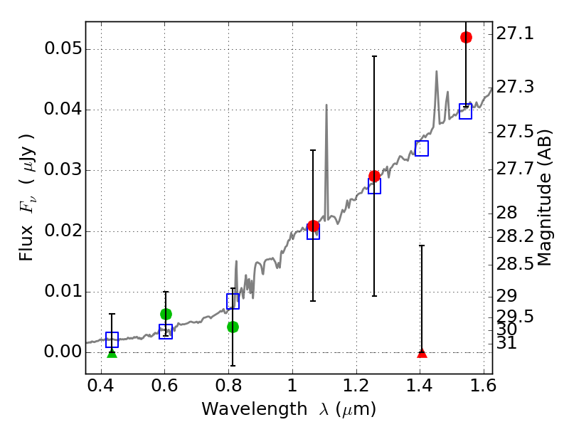
WHL0137-08 IR detection object #1206

Color images and BPZ results
Catalog: 1206.cat
Black segments are analyzed here.   Roll mouse over color images to view segments.
Best viewed in a wide browser window (1200 pixels or more).   Download SED & P(z) plots to view larger versions.
In P(z) plots: Yellow lines mark the cluster redshift z = 0.566,  

Object #1206   x,y = (2468, 1231)   RA, Dec = (01:37:25.248, -8:28:37.92) = (24.35520, -8.47720)   BPZ = 1.210 [0.460--6.912]   type = 6.40 (Sbc_B10 - Scd_B10)   chisq2 = 1.38   ODDS = 0.07   z_cluster = 0.566