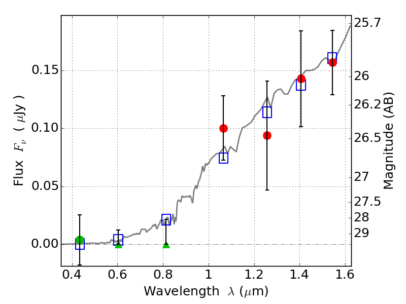
WHL0137-08 IR detection object #1066

Color images and BPZ results
Catalog: 1066.cat
Black segments are analyzed here.   Roll mouse over color images to view segments.
Best viewed in a wide browser window (1200 pixels or more).   Download SED & P(z) plots to view larger versions.
In P(z) plots: Yellow lines mark the cluster redshift z = 0.566,  

Object #1066   x,y = (1715, 1577)   RA, Dec = (01:37:28.296, -8:28:17.04) = (24.36790, -8.47140)   BPZ = 1.162 [0.676--6.902]   type = 2.00 (Ell6_A_0)   chisq2 = 0.46   ODDS = 0.22   z_cluster = 0.566