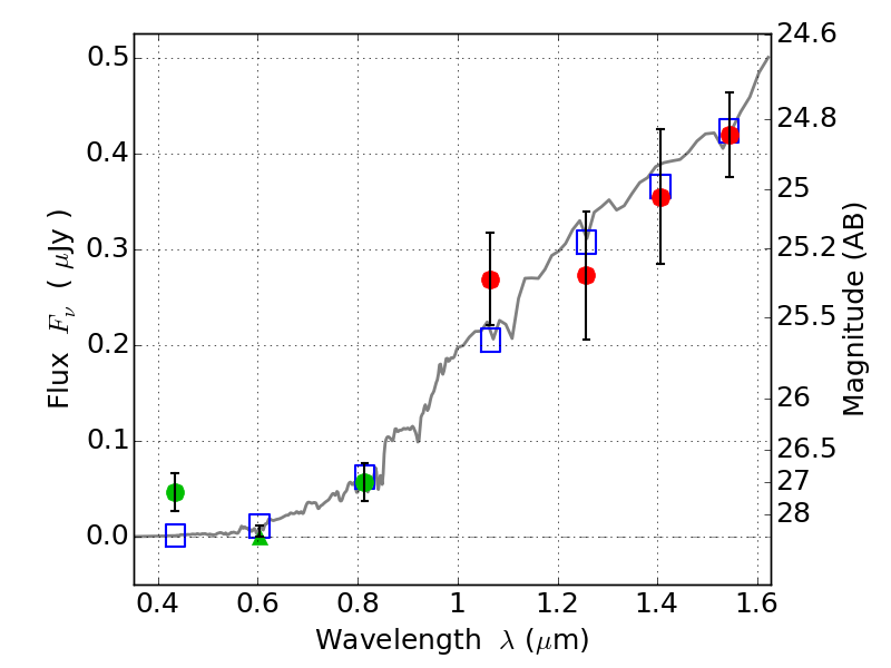
WHL0137-08 IR detection object #1064

Color images and BPZ results
Catalog: 1064.cat
Black segments are analyzed here.   Roll mouse over color images to view segments.
Best viewed in a wide browser window (1200 pixels or more).   Download SED & P(z) plots to view larger versions.
In P(z) plots: Yellow lines mark the cluster redshift z = 0.566,  

Object #1064   x,y = (1706, 1561)   RA, Dec = (01:37:28.344, -8:28:18.12) = (24.36810, -8.47170)   BPZ = 1.138 [0.902--6.230]   type = 2.50 (Ell5_A_0 - Ell6_A_0)   chisq2 = 0.87   ODDS = 0.39   z_cluster = 0.566