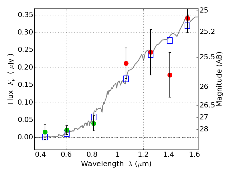
WHL0137-08 IR detection object #1056

Color images and BPZ results
Catalog: 1056.cat
Black segments are analyzed here.   Roll mouse over color images to view segments.
Best viewed in a wide browser window (1200 pixels or more).   Download SED & P(z) plots to view larger versions.
In P(z) plots: Yellow lines mark the cluster redshift z = 0.566,  

Object #1056   x,y = (1718, 1550)   RA, Dec = (01:37:28.272, -8:28:18.48) = (24.36780, -8.47180)   BPZ = 1.040 [0.716--5.490]   type = 2.80 (Ell5_A_0 - Ell6_A_0)   chisq2 = 0.96   ODDS = 0.28   z_cluster = 0.566