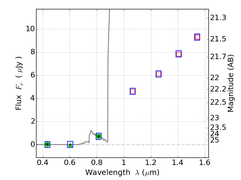
WHL0137-08 ACS+IR detection object #86

Color images and BPZ results
Catalog: 86.cat
Black segments are analyzed here.   Roll mouse over color images to view segments.
Best viewed in a wide browser window (1200 pixels or more).   Download SED & P(z) plots to view larger versions.
In P(z) plots: Yellow lines mark the cluster redshift z = 0.566,  

Object #86   x,y = (1695, 4717)   RA, Dec = (01:37:28.368, -8:25:08.76) = (24.36820, -8.41910)   BPZ = 6.254 [5.856--8.945]   type = 6.00 (Sbc_B10)   chisq2 = 0.00   ODDS = 0.39   z_cluster = 0.566