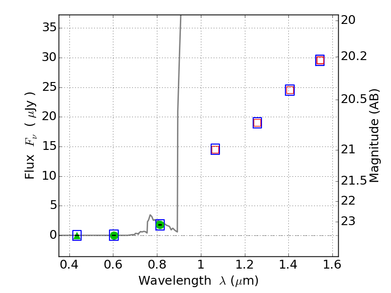
WHL0137-08 ACS+IR detection object #859

Color images and BPZ results
Catalog: 859.cat
Black segments are analyzed here.   Roll mouse over color images to view segments.
Best viewed in a wide browser window (1200 pixels or more).   Download SED & P(z) plots to view larger versions.
In P(z) plots: Yellow lines mark the cluster redshift z = 0.566,  

Object #859   x,y = (1169, 3785)   RA, Dec = (01:37:30.504, -8:26:04.56) = (24.37710, -8.43460)   BPZ = 6.360 [6.018--8.613]   type = 6.00 (Sbc_B10)   chisq2 = 0.00   ODDS = 0.47   z_cluster = 0.566