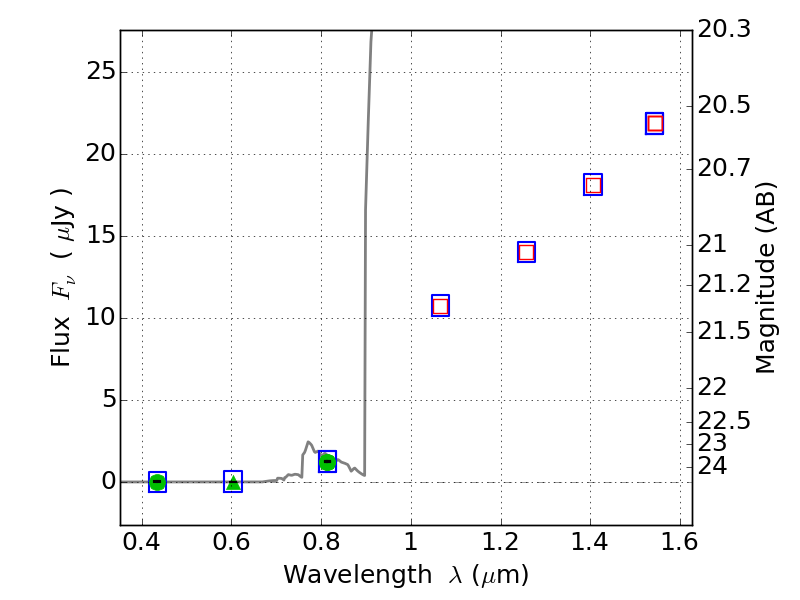
WHL0137-08 ACS+IR detection object #69

Color images and BPZ results
Catalog: 69.cat
Black segments are analyzed here.   Roll mouse over color images to view segments.
Best viewed in a wide browser window (1200 pixels or more).   Download SED & P(z) plots to view larger versions.
In P(z) plots: Yellow lines mark the cluster redshift z = 0.566,  

Object #69   x,y = (1702, 4752)   RA, Dec = (01:37:28.344, -8:25:06.60) = (24.36810, -8.41850)   BPZ = 6.385 [5.988--8.802]   type = 6.00 (Sbc_B10)   chisq2 = 0.00   ODDS = 0.43   z_cluster = 0.566