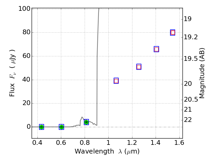
WHL0137-08 ACS+IR detection object #6118

Color images and BPZ results
Catalog: 6118.cat
Black segments are analyzed here.   Roll mouse over color images to view segments.
Best viewed in a wide browser window (1200 pixels or more).   Download SED & P(z) plots to view larger versions.
In P(z) plots: Yellow lines mark the cluster redshift z = 0.566,  

Object #6118   x,y = (3242, 172)   RA, Dec = (01:37:22.128, -8:29:41.28) = (24.34220, -8.49480)   BPZ = 6.431 [6.177--8.311]   type = 6.00 (Sbc_B10)   chisq2 = 0.00   ODDS = 0.59   z_cluster = 0.566