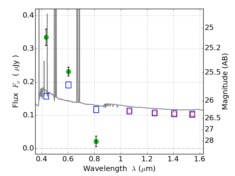
WHL0137-08 ACS+IR detection object #6108

Color images and BPZ results
Catalog: 6108.cat
Black segments are analyzed here.   Roll mouse over color images to view segments.
Best viewed in a wide browser window (1200 pixels or more).   Download SED & P(z) plots to view larger versions.
In P(z) plots: Yellow lines mark the cluster redshift z = 0.566,  

Object #6108   x,y = (3312, 209)   RA, Dec = (01:37:21.840, -8:29:39.12) = (24.34100, -8.49420)   BPZ = 0.020 [0.010--1.877]   type = 11.00 (SB11_A_0_l)   chisq2 = 89.20   ODDS = 0.84   z_cluster = 0.566