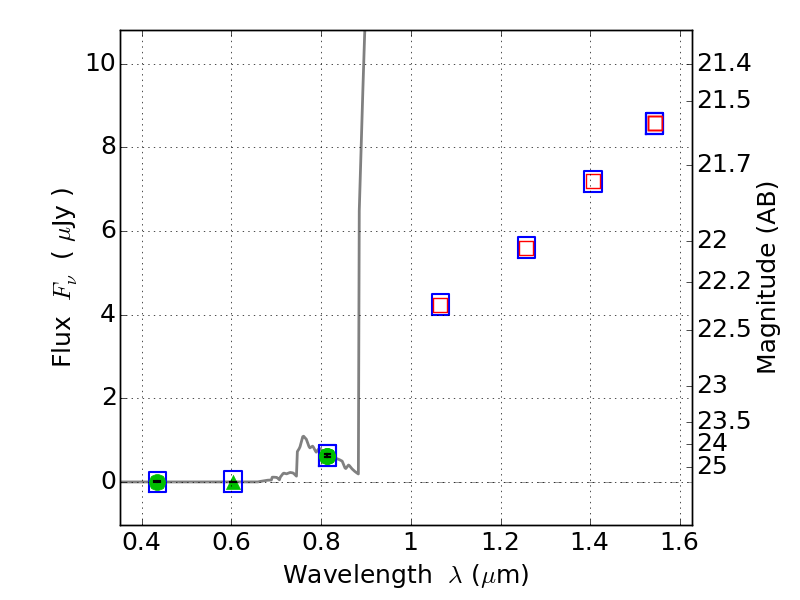
WHL0137-08 ACS+IR detection object #5994

Color images and BPZ results
Catalog: 5994.cat
Black segments are analyzed here.   Roll mouse over color images to view segments.
Best viewed in a wide browser window (1200 pixels or more).   Download SED & P(z) plots to view larger versions.
In P(z) plots: Yellow lines mark the cluster redshift z = 0.566,  

Object #5994   x,y = (3411, 436)   RA, Dec = (01:37:21.432, -8:29:25.44) = (24.33930, -8.49040)   BPZ = 6.273 [5.871--8.912]   type = 6.00 (Sbc_B10)   chisq2 = 0.00   ODDS = 0.38   z_cluster = 0.566