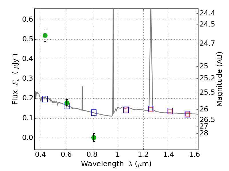
WHL0137-08 ACS+IR detection object #5906

Color images and BPZ results
Catalog: 5906.cat
Black segments are analyzed here.   Roll mouse over color images to view segments.
Best viewed in a wide browser window (1200 pixels or more).   Download SED & P(z) plots to view larger versions.
In P(z) plots: Yellow lines mark the cluster redshift z = 0.566,  

Object #5906   x,y = (3479, 550)   RA, Dec = (01:37:21.168, -8:29:18.60) = (24.33820, -8.48850)   BPZ = 1.594 [1.453--2.111]   type = 11.00 (SB11_A_0_l)   chisq2 = 142.10   ODDS = 0.53   z_cluster = 0.566