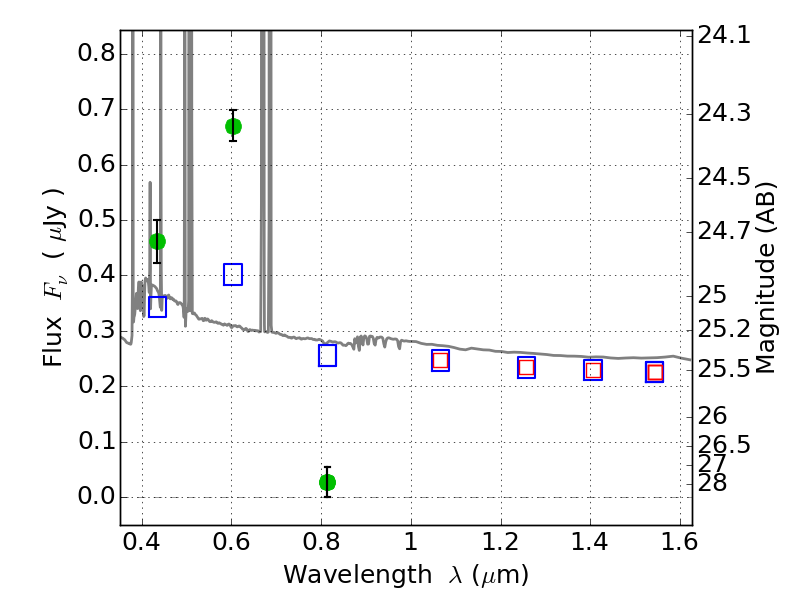
WHL0137-08 ACS+IR detection object #590

Color images and BPZ results
Catalog: 590.cat
Black segments are analyzed here.   Roll mouse over color images to view segments.
Best viewed in a wide browser window (1200 pixels or more).   Download SED & P(z) plots to view larger versions.
In P(z) plots: Yellow lines mark the cluster redshift z = 0.566,  

Object #590   x,y = (1314, 4027)   RA, Dec = (01:37:29.928, -8:25:50.16) = (24.37470, -8.43060)   BPZ = 0.017 [0.010--0.034]   type = 11.00 (SB11_A_0_l)   chisq2 = 128.40   ODDS = 1.00   z_cluster = 0.566