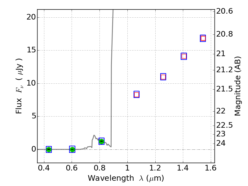
WHL0137-08 ACS+IR detection object #5707

Color images and BPZ results
Catalog: 5707.cat
Black segments are analyzed here.   Roll mouse over color images to view segments.
Best viewed in a wide browser window (1200 pixels or more).   Download SED & P(z) plots to view larger versions.
In P(z) plots: Yellow lines mark the cluster redshift z = 0.566,  

Object #5707   x,y = (3604, 785)   RA, Dec = (01:37:20.664, -8:29:04.56) = (24.33610, -8.48460)   BPZ = 6.273 [5.931--8.699]   type = 6.00 (Sbc_B10)   chisq2 = 0.00   ODDS = 0.45   z_cluster = 0.566