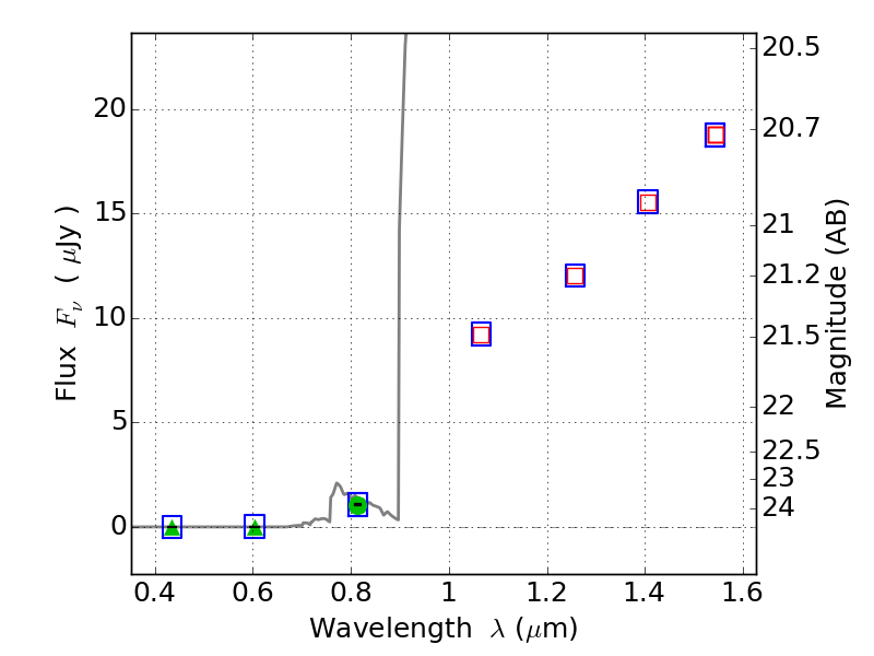
WHL0137-08 ACS+IR detection object #5703

Color images and BPZ results
Catalog: 5703.cat
Black segments are analyzed here.   Roll mouse over color images to view segments.
Best viewed in a wide browser window (1200 pixels or more).   Download SED & P(z) plots to view larger versions.
In P(z) plots: Yellow lines mark the cluster redshift z = 0.566,  

Object #5703   x,y = (3582, 789)   RA, Dec = (01:37:20.760, -8:29:04.20) = (24.33650, -8.48450)   BPZ = 6.384 [5.985--8.791]   type = 6.00 (Sbc_B10)   chisq2 = 0.00   ODDS = 0.42   z_cluster = 0.566