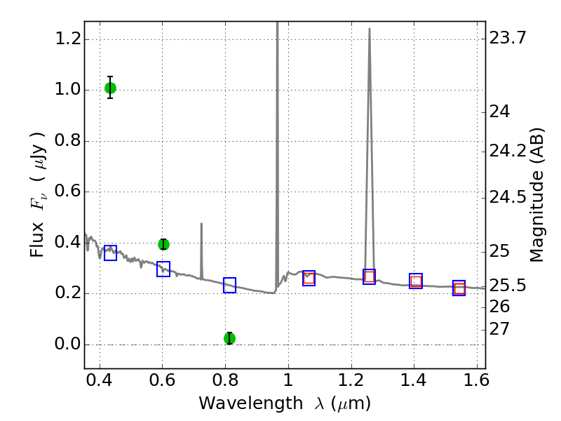
WHL0137-08 ACS+IR detection object #5511

Color images and BPZ results
Catalog: 5511.cat
Black segments are analyzed here.   Roll mouse over color images to view segments.
Best viewed in a wide browser window (1200 pixels or more).   Download SED & P(z) plots to view larger versions.
In P(z) plots: Yellow lines mark the cluster redshift z = 0.566,  

Object #5511   x,y = (3654, 945)   RA, Dec = (01:37:20.448, -8:28:54.84) = (24.33520, -8.48190)   BPZ = 1.594 [1.540--1.896]   type = 11.00 (SB11_A_0_l)   chisq2 = 265.80   ODDS = 0.85   z_cluster = 0.566