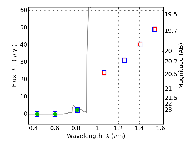
WHL0137-08 ACS+IR detection object #5355

Color images and BPZ results
Catalog: 5355.cat
Black segments are analyzed here.   Roll mouse over color images to view segments.
Best viewed in a wide browser window (1200 pixels or more).   Download SED & P(z) plots to view larger versions.
In P(z) plots: Yellow lines mark the cluster redshift z = 0.566,  

Object #5355   x,y = (3732, 1086)   RA, Dec = (01:37:20.136, -8:28:46.56) = (24.33390, -8.47960)   BPZ = 6.442 [6.132--8.528]   type = 6.00 (Sbc_B10)   chisq2 = 0.00   ODDS = 0.52   z_cluster = 0.566