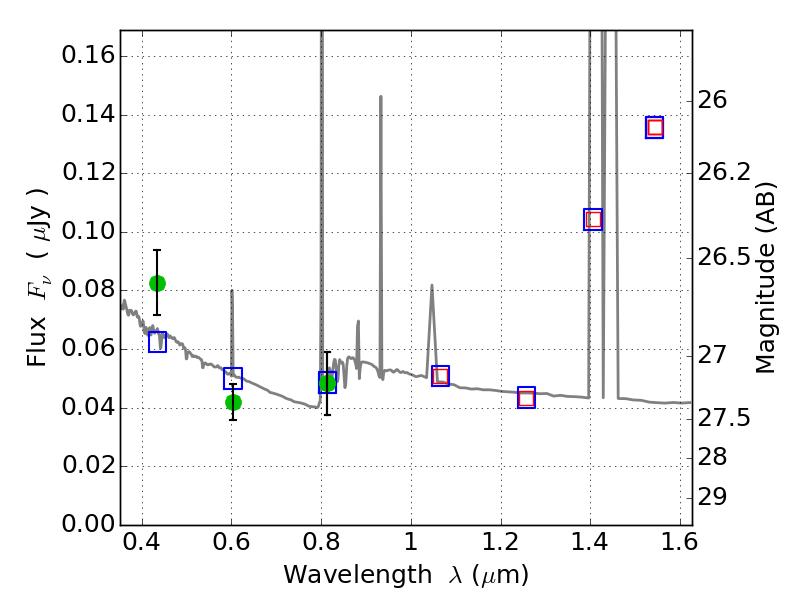
WHL0137-08 ACS+IR detection object #5307

Color images and BPZ results
Catalog: 5307.cat
Black segments are analyzed here.   Roll mouse over color images to view segments.
Best viewed in a wide browser window (1200 pixels or more).   Download SED & P(z) plots to view larger versions.
In P(z) plots: Yellow lines mark the cluster redshift z = 0.566,  

Object #5307   x,y = (1504, 1124)   RA, Dec = (01:37:29.160, -8:28:44.04) = (24.37150, -8.47890)   BPZ = 1.151 [0.776--2.446]   type = 11.00 (SB11_A_0_l)   chisq2 = 2.55   ODDS = 0.16   z_cluster = 0.566