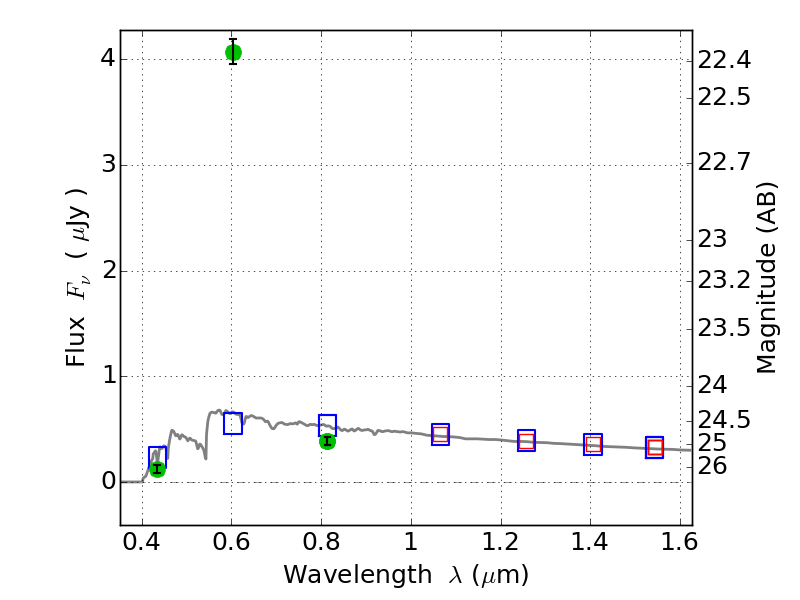
WHL0137-08 ACS+IR detection object #5225

Color images and BPZ results
Catalog: 5225.cat
Black segments are analyzed here.   Roll mouse over color images to view segments.
Best viewed in a wide browser window (1200 pixels or more).   Download SED & P(z) plots to view larger versions.
In P(z) plots: Yellow lines mark the cluster redshift z = 0.566,  

Object #5225   x,y = (3780, 1186)   RA, Dec = (01:37:19.944, -8:28:40.44) = (24.33310, -8.47790)   BPZ = 3.466 [3.338--3.604]   type = 11.00 (SB11_A_0_l)   chisq2 = 803.10   ODDS = 0.99   z_cluster = 0.566