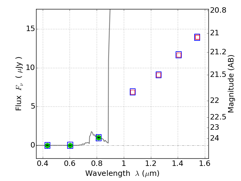
WHL0137-08 ACS+IR detection object #5163

Color images and BPZ results
Catalog: 5163.cat
Black segments are analyzed here.   Roll mouse over color images to view segments.
Best viewed in a wide browser window (1200 pixels or more).   Download SED & P(z) plots to view larger versions.
In P(z) plots: Yellow lines mark the cluster redshift z = 0.566,  

Object #5163   x,y = (3791, 1249)   RA, Dec = (01:37:19.896, -8:28:36.84) = (24.33290, -8.47690)   BPZ = 6.278 [5.927--8.775]   type = 6.00 (Sbc_B10)   chisq2 = 0.00   ODDS = 0.42   z_cluster = 0.566