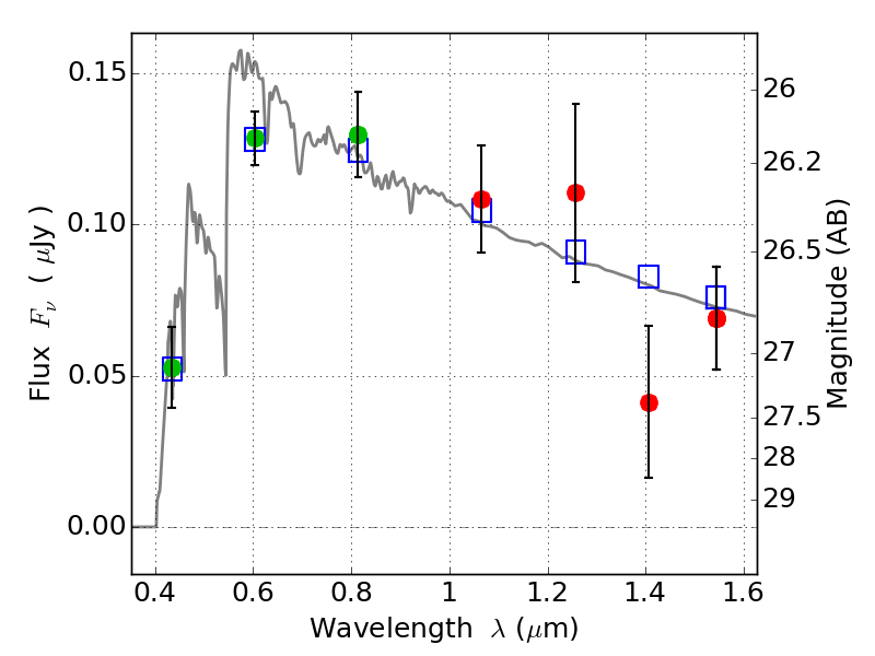
WHL0137-08 ACS+IR detection object #4944

Color images and BPZ results
Catalog: 4944.cat
Black segments are analyzed here.   Roll mouse over color images to view segments.
Best viewed in a wide browser window (1200 pixels or more).   Download SED & P(z) plots to view larger versions.
In P(z) plots: Yellow lines mark the cluster redshift z = 0.566,  

Object #4944   x,y = (2207, 1405)   RA, Dec = (01:37:26.304, -8:28:27.48) = (24.35960, -8.47430)   BPZ = 3.477 [0.279--3.664]   type = 11.00 (SB11_A_0_l)   chisq2 = 0.49   ODDS = 0.77   z_cluster = 0.566