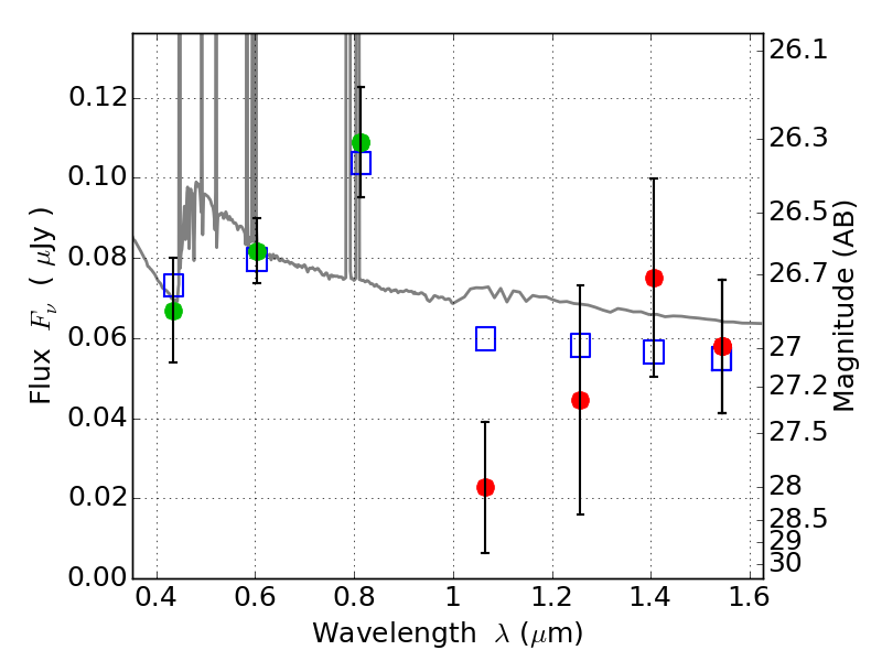
WHL0137-08 ACS+IR detection object #4783

Color images and BPZ results
Catalog: 4783.cat
Black segments are analyzed here.   Roll mouse over color images to view segments.
Best viewed in a wide browser window (1200 pixels or more).   Download SED & P(z) plots to view larger versions.
In P(z) plots: Yellow lines mark the cluster redshift z = 0.566,  

Object #4783   x,y = (2636, 1515)   RA, Dec = (01:37:24.576, -8:28:20.64) = (24.35240, -8.47240)   BPZ = 0.202 [0.096--0.349]   type = 11.00 (SB11_A_0_l)   chisq2 = 0.81   ODDS = 0.50   z_cluster = 0.566