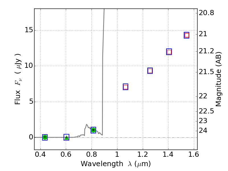
WHL0137-08 ACS+IR detection object #4747

Color images and BPZ results
Catalog: 4747.cat
Black segments are analyzed here.   Roll mouse over color images to view segments.
Best viewed in a wide browser window (1200 pixels or more).   Download SED & P(z) plots to view larger versions.
In P(z) plots: Yellow lines mark the cluster redshift z = 0.566,  

Object #4747   x,y = (3962, 1509)   RA, Dec = (01:37:19.200, -8:28:21.00) = (24.33000, -8.47250)   BPZ = 6.280 [5.921--8.925]   type = 6.00 (Sbc_B10)   chisq2 = 0.00   ODDS = 0.40   z_cluster = 0.566