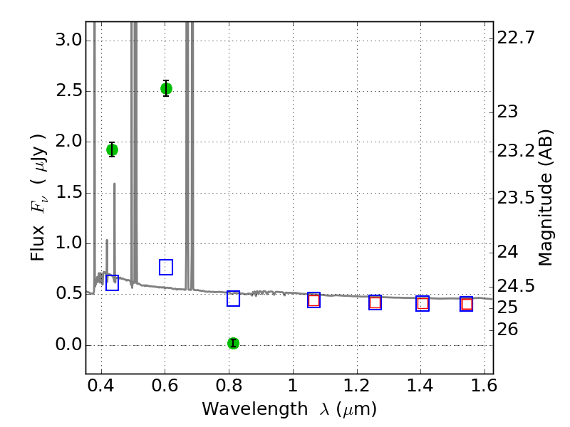
WHL0137-08 ACS+IR detection object #4596

Color images and BPZ results
Catalog: 4596.cat
Black segments are analyzed here.   Roll mouse over color images to view segments.
Best viewed in a wide browser window (1200 pixels or more).   Download SED & P(z) plots to view larger versions.
In P(z) plots: Yellow lines mark the cluster redshift z = 0.566,  

Object #4596   x,y = (3992, 1597)   RA, Dec = (01:37:19.080, -8:28:15.96) = (24.32950, -8.47110)   BPZ = 0.016 [0.010--0.031]   type = 11.00 (SB11_A_0_l)   chisq2 = 698.10   ODDS = 1.00   z_cluster = 0.566