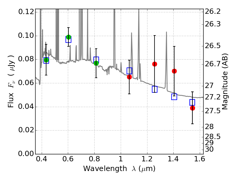
WHL0137-08 ACS+IR detection object #4463

Color images and BPZ results
Catalog: 4463.cat
Black segments are analyzed here.   Roll mouse over color images to view segments.
Best viewed in a wide browser window (1200 pixels or more).   Download SED & P(z) plots to view larger versions.
In P(z) plots: Yellow lines mark the cluster redshift z = 0.566,  

Object #4463   x,y = (2101, 1690)   RA, Dec = (01:37:26.736, -8:28:10.20) = (24.36140, -8.46950)   BPZ = 0.054 [0.015--3.182]   type = 10.40 (SB3_B10 - SB11_A_0_l)   chisq2 = 0.32   ODDS = 0.75   z_cluster = 0.566