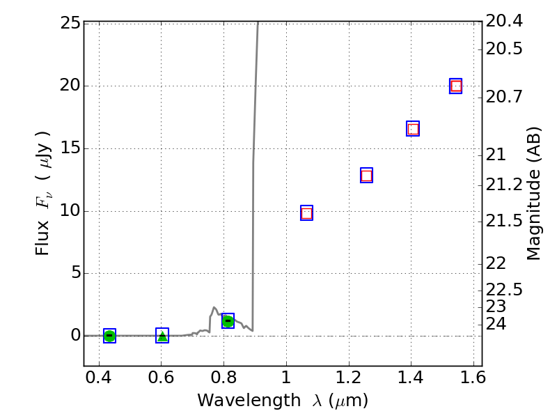
WHL0137-08 ACS+IR detection object #4395

Color images and BPZ results
Catalog: 4395.cat
Black segments are analyzed here.   Roll mouse over color images to view segments.
Best viewed in a wide browser window (1200 pixels or more).   Download SED & P(z) plots to view larger versions.
In P(z) plots: Yellow lines mark the cluster redshift z = 0.566,  

Object #4395   x,y = (4056, 1728)   RA, Dec = (01:37:18.840, -8:28:08.04) = (24.32850, -8.46890)   BPZ = 6.363 [5.979--8.770]   type = 6.00 (Sbc_B10)   chisq2 = 0.00   ODDS = 0.42   z_cluster = 0.566