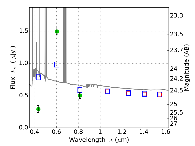
WHL0137-08 ACS+IR detection object #4316

Color images and BPZ results
Catalog: 4316.cat
Black segments are analyzed here.   Roll mouse over color images to view segments.
Best viewed in a wide browser window (1200 pixels or more).   Download SED & P(z) plots to view larger versions.
In P(z) plots: Yellow lines mark the cluster redshift z = 0.566,  

Object #4316   x,y = (4091, 1756)   RA, Dec = (01:37:18.696, -8:28:06.24) = (24.32790, -8.46840)   BPZ = 0.016 [0.010--0.036]   type = 11.00 (SB11_A_0_l)   chisq2 = 74.13   ODDS = 1.00   z_cluster = 0.566