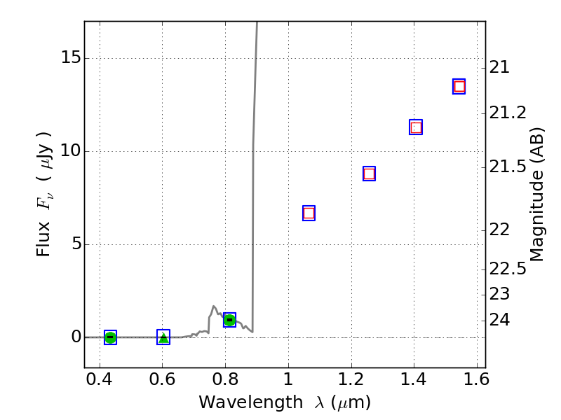
WHL0137-08 ACS+IR detection object #4220

Color images and BPZ results
Catalog: 4220.cat
Black segments are analyzed here.   Roll mouse over color images to view segments.
Best viewed in a wide browser window (1200 pixels or more).   Download SED & P(z) plots to view larger versions.
In P(z) plots: Yellow lines mark the cluster redshift z = 0.566,  

Object #4220   x,y = (4111, 1846)   RA, Dec = (01:37:18.600, -8:28:00.84) = (24.32750, -8.46690)   BPZ = 6.296 [5.947--8.842]   type = 6.00 (Sbc_B10)   chisq2 = 0.00   ODDS = 0.39   z_cluster = 0.566