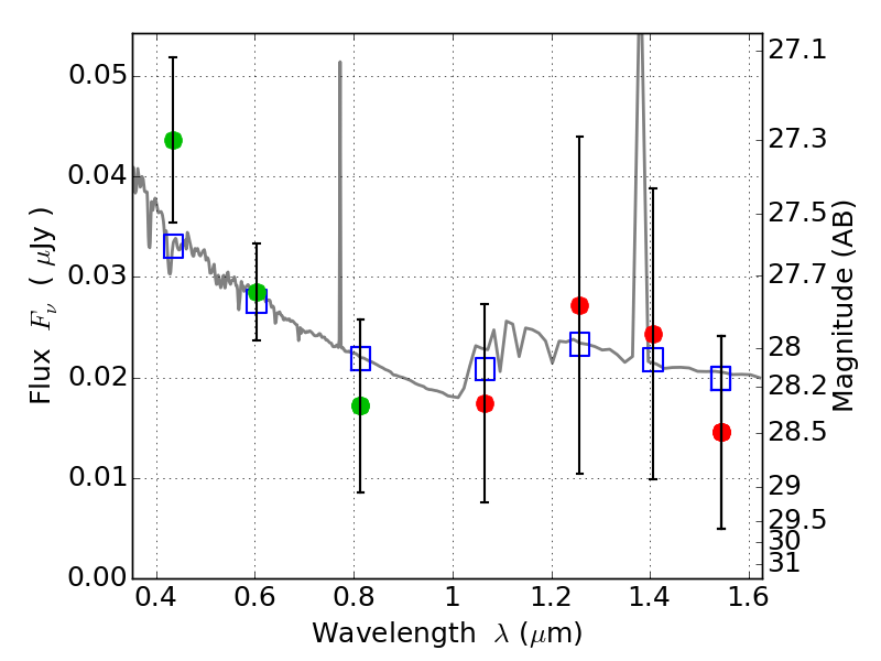
WHL0137-08 ACS+IR detection object #4151

Color images and BPZ results
Catalog: 4151.cat
Black segments are analyzed here.   Roll mouse over color images to view segments.
Best viewed in a wide browser window (1200 pixels or more).   Download SED & P(z) plots to view larger versions.
In P(z) plots: Yellow lines mark the cluster redshift z = 0.566,  

Object #4151   x,y = (2305, 1885)   RA, Dec = (01:37:25.920, -8:27:58.68) = (24.35800, -8.46630)   BPZ = 1.761 [0.736--2.750]   type = 11.00 (SB11_A_0_l)   chisq2 = 0.46   ODDS = 0.28   z_cluster = 0.566