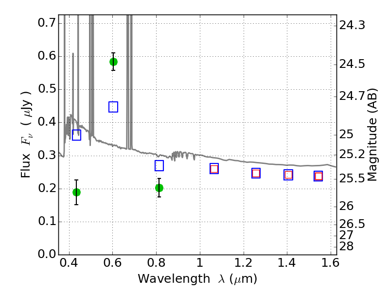
WHL0137-08 ACS+IR detection object #4128

Color images and BPZ results
Catalog: 4128.cat
Black segments are analyzed here.   Roll mouse over color images to view segments.
Best viewed in a wide browser window (1200 pixels or more).   Download SED & P(z) plots to view larger versions.
In P(z) plots: Yellow lines mark the cluster redshift z = 0.566,  

Object #4128   x,y = (188, 1966)   RA, Dec = (01:37:34.464, -8:27:53.64) = (24.39360, -8.46490)   BPZ = 0.018 [0.010--0.043]   type = 11.00 (SB11_A_0_l)   chisq2 = 30.61   ODDS = 1.00   z_cluster = 0.566